Abaqus 非线性力学的功能增强

Valanis-Landel 超弹性材料

通过指定单轴试验数据和可选的体积试验数据(v2022新增选项)来定义Valanis-Landel 超弹性模型,该模型能精确地复现给定的数据,类似Marlow模型,但与Marlow模型的不同之处在于它允许同时给定拉伸和压缩数据。

材料属性定义为材料状态的函数

大多数Abaqus材料属性可以定义为场变量的函数,在模拟过程中可以随时间和空间变化,现在可以直接将一个场变量与材料状态联系起来。例如:定义拉伸和压缩不同塑性行为的材料模型,如下:

聚合物固化过程

用于分析胶粘剂和其他聚合物的固化过程,预测固化条件(如温度大小/曲线、热边界条件)对残余应力、失效和翘曲的影响。包括固化动力学、固化收缩率、固化反应产生的热量。可用于热固耦合分析。

Abaqus/Explicit中无拉伸/无压缩

以前在Abaqus/Standard中提供的无拉伸/无压缩弹性模型,现在AbaqusV2022X的 Explicit求解器中可以支持使用。能够对没有压缩刚度的电缆和膜结构进行建模。

使用Beam混凝土损伤塑性

Abaqus中的混凝土损伤塑性模型为混凝土和其他准脆性材料在低围压下的单调、循环和/或动态加载提供了通用的建模能力。该模型可用在空间梁单元上 (例如B31单元),目前Abaqus/Standard和Abaqus/Explicit都可以使用。

压力相关的各向异性塑性的功能增强

以下与压力相关的塑性模型已经功能增强,以支持使用Hill的各向异性塑性。提高了多尺度材料(如分层复合材料材料结构)校准的灵活性。

屈服应力外推法

当屈服应力超出指定范围时,用户可以指定屈服应力是保持不变(默认)还是在指定的数据范围之外线性外推。该功能适用于以表格形式指定的各向异性硬化曲线。只影响屈服应力相对于等效塑性应变的外推,对其他独立变量(例如TEMP、FVs)仍采用恒定外推法。

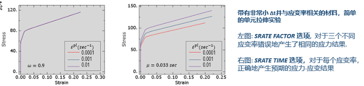
基于时间的应变率滤波

Abaqus/Explicit提供了两个选项来过滤应变率,应变率用于评估速率相关材料的本构响应。Abaqus2022中新引入选项定义基于时间的过滤,提供了一个更稳健的滤波器。

塑性修正

针对塑性变形发生在结构小区域内的模型,使用各向同性的纯弹性材料,进行塑性解的估算。评估塑性修正由专门的输出请求变量来表征。

材料多尺度的功能增强

对于具有非线性组成特性的短纤维增强复合材料,需要采用平均场均质法(MFH)来更好地预测材料的性能,在原来Abaqus/Standard基础上,AbaqusV2022新增了Explicit求解器中的使用。目前仅考虑一个基体和一个纤维成分,只支持集体的弹塑性材料行为,纤维必须是弹性的。仅支持*DYNAMIC,EXPLICIT分析步。主要应用于高科技行业的跌落测试。

顺序工作流的功能增强

注塑成型Moldflow到结构Abaqus的顺序工作流

增强了脚本,由Moldflow创建的XML输出文件生成ODB & SIM文件。是替代传统的Abaqus与Moldflow间转换器的一种解决方案。以前的Abaqus Moldflow translator直接映射弹性刚度张量,新的方法是映射纤维方向张量。材料响应是使用MFH计算的。

壳单元仿真结果的映射功能

针对均质壳,可沿厚度方向进行仿真结果的映射,能够映射的变量包括:displacement, orientation, stress, plastic strain等,数据导入通过初始条件和带有子选项*EXTERNAL FIELD的分布来完成:*INITIAL CONDITIONS和*DISTRIBUTION

针对复合壳,也可沿着厚度方向进行仿真结果的映射。但要求映射前后的源网格和目标网格必须具有相同的铺层,在源网格和目标网格之间积分规则和积分点可以不同。

子程序的功能增强

Abaqus/Explicit增加用户子程序VUGENS

根据广义截面量直接定义壳截面的(非线性)力学行为,类似于/Standard中的UGENS。用户可直接用膜应变和曲率变化来定义壳的截面行为;可以定义一个损伤变量,应用于截面的(弹性)横向剪切刚度;针对具有用户自定义截面行为的通用壳截面定义如下:

Abaqus/Explicit增加用户子程序VSDVINI

可在特定的材料点和壳截面点上用于初始化与解相关的状态变量。允许定义复杂的初始状态,状态可以由坐标、单元数等决定。类似于/Standard中的SDVINI

Abaqus/Standard中子程序UVARM可以用于线性摄动静力学分析

用户现在可以在线性摄动静力学分析的用户子程序UVARM中定义输出,与已支持的通用分析步的方式完全相同。可以调用实用程序GETVRM来访问材料点摄动输出变量。而且支持多个载荷工况。用户子程序UVARM将在每个载荷工况被调用。

关键字的用户界面(与通用分析步相同):

Abaqus/Explicit技术更新

1.CEL增强了对颗粒堆积物形成的模拟作用

实际工程中一般要求,仿真能够模拟一个虚拟的颗粒堆积建立和回收。能够在堆积的全生命周期上跟踪材料的分布(例如,包括来源和/或成分信息)。CEL功能增强,支持更灵活地将流入/流出条件引入欧拉域,而且能够以用户定义的足迹和用户定义的初始速度/加速度,向欧拉域添加材料(或从欧拉域移除材料)。

2.粒子技术的改进—SPH、DEM、LKM

对Abaqus/Explicit中的粒子技术进行了显著的架构改进:

3.分析时间估算

Abaqus/Explicit提供了一种新的分析时间预测方法,该方法使用趋势时间序列方法。仿真计算成本低,易于解释简要的输出,输出文件可由3DX中App读取,对分析类型没有限制,而且可以使用不同的时间序列技术。但当仿真计算的历史趋势不能反应未来趋势时,会导致不好的效果。

其他更新

电池工程功能增强

Abaqus2021xFD05新增了可用于电池工程方面的热-电化学耦合分析功能,使用*COUPLED THERMAL-ELECTROCHEMICAL关键字行来定义。现在Abaqus2022xGA又新增了热-结构-电化学耦合分析功能,使用*COUPLED TEMPERATURE-DISPLACEMENT, ELECTROCHEMICAL。此分析功能是基于扩展的三维多孔电极理论(PET)Newman模型,实现了完全耦合的多尺度、多物理学分析,可以同时解决了以下高度耦合的场:

a) Displacements, (DOFs 1-3)

b) Temperature,  (DOF 11)

c) Electric potentials in the solid and electrolyte phases,  (DOFs 9, 32)

d) Ion concentration in the electrolyte, (DOF 33) and 

e) Concentration of solid particles in the electrodes (microscale).

并提供专门的单元类型 (QEC3D8) 一阶六面体单元。

典型的电池仿真过程,需要四个分析步:

电池多物理场仿真的实例:选择全圆柱形电池模型进行分析。几何模型的特点是在金属壳内,有一个浸在电解液中的凝胶卷(阳极集电器、阳极、分离器、阴极、阴极集电器)。该模型很复杂,可以包括顶盖、绝缘层、通风口、标签等。根据标签的位置、应力和由于颗粒膨胀造成的电解液移动、热效应等,对电池性能进行深入了解。

全刚度耦合的通用截面Beam单元功能增强

目前定义网格划分的B31和B32梁单元的通用梁截面时,将六个梁截面的力和力矩与六个梁截面的应变联系起来,这种功能增强能够更准确地表征复合梁的弹性响应(应用于风力涡轮机或直升机转子叶片),其中刚度值可以直接定义,也可以通过带有3-DOF翘曲单元的二维梁截面分析来产生。目前应力恢复通过Abaqus/CAE支持。

Connector塑性的功能增强

连接单元塑性,用于模拟实际连接装置部件的塑性/不可恢复变形。如果汽车车架上的点焊和飞机上的铆钉所受的力大于预期,它们就会发生非弹性变形。这类连接器的非弹性响应对装置中法向力和剪切力的比率表现出中度或强烈相关,而混合模式就是测量连接器中法向力和剪切力的相对比例。连接器的硬化反应已得到加强,已包括混合模式的相关性。目前,仅适用于以表格形式定义的具有各向同性硬化行为的耦合塑性。

伴随设计灵敏性的功能增强

伴随灵敏度计算现在可以仿真三维线性模型的惯性释放载荷。应用于线性扰动分析,有/无多种载荷工况。且适用于所有优化类型:拓扑结构、形貌、起筋和尺寸。适合于三维模型。而且新的用户子程序,UELEMDRESP,用于指定用户定义的单元设计响应。新的单元设计响应方面,基于弹性求解,Neuber和Glinka估算等效塑性变形。起筋和形貌敏感度将被支持用于瞬态动力学优化。

多工况分析中温度加载

多载荷工况分析中可定义*TEMPERATURE。支持线性静力学分析。这类分析,比等效的多个摄动分析更高效,能应用到支持温度载荷的所有单元类型:,例如一维、二维和三维的连续体单元,壳单元,梁单元,轴对称单元,壳和连续体,以及膜单元等等。温度也可以在工况定义之外进行定义,在这个情况下,温度适用于当前步骤中的所有载荷工况。

断裂和疲劳的功能增强

新功能包括XFEM功能增强,疲劳裂纹扩展增强,以及传统围线积分的功能增强。

首先,XFEM功能增强包括线性静态摄动分析中的XFEM增强(例如非线性基状态下的裂纹;允许定义不同的载荷工况;在摄动分析步中没有进一步裂纹扩展等),子结构生成分析中的XFEM增强(例如支持包含裂纹的大型结构的线性响应,避免了与单个重复使用的线性结构相关的大量计算成本),以及非局部平均算法扩展到富集区域单元的线弹性断裂力学的裂纹扩展准则。

其次,疲劳裂纹扩展方面,增加新的疲劳裂纹生长方法,包括基于应力强度因子的 Irwin 裂纹生长法,基于应力强度因子的表格裂纹生长法,以及通过用户子程序定义基于应力强度因子的裂纹生长法。通过基于损伤的容差来控制单元的断裂,且改进了富集区域单元残余力的下降,因此提高了仿真的准确度和性能改进。

而传统围线积分的功能增强,可使用二阶四面体单元的线积分法。传统的方法是基于六面体单元的域积分方法,新的开发旨在解决更广泛的问题,可以使用基于四面体网格。可支持围线积分的场输出如下: